Judul : Bagaimana Menentukan Bentuk Galaksi Bimasakti Kita Spiral?
link : Bagaimana Menentukan Bentuk Galaksi Bimasakti Kita Spiral?
Bagaimana Menentukan Bentuk Galaksi Bimasakti Kita Spiral?
Kita hidup di planet bumi yang merupakan bagian dari sistem tata surya. Bumi berevolusi mengelilingi matahari. Bumi beserta matahari juga berevolusi mengelilingi pusat galaksi. Galaksi kita bernama galaksi bimasakti. Galaksi bimasakti berbentuk spiral (cakram) dengan delapan lengan. Tata surya kita berada di salah satu lengan galaksi yang bernama lengan orion.
Begitulah mungkin yang anda ketahui dari sekolah maupun buku pelajaran sekolah.
Namun pernahkah anda bertanya dalam lubuk hati yang paling dalam “bagaimana kita dapat mengetahui bentuk galaksi kita sendiri, dimana kita berada di dalamnya?”
Jika kita mengetahui bentuk galaksi lain, hal tersebut tidak aneh karena kita dapat melihatnya secara keseluruhan bentuk dari galaksi tetangga kita dengan menggunakan teleskop.
Namun, bagaimana cara kita mengetahui bentuk galaksi kita sendiri?
Ibaratnya kita ingin melihat bentuk wajah kita pasti kita menggunakan cermin agar dapat melihat wajah maupun bagian wajah kita. Kalau galaksi yang ukurannya super-duper besar ini apa juga menggunakan cermin? tentu tidak :)

Dalam Ilmu Astronomi, jarak bintang dapat dihitung dengan menggunakan metode paralaks bintang. Paralaks bintang adalah berubahnya posisi bintang terhadap latar belakang (bintang yang sangat jauh) karena sudut pandang pengamat yang berbeda. Pengamat yang berada di bumi, dimana bumi senantiasa berevolusi akan mendapatkan posisi bintang yang berbeda jika dilihat pada bulan-bulan tertentu. Hal tersebut disebabkan karena posisi bumi yang berubah.
Coba kalian perhatikan gambar berikut!!
Coba kalian perhatikan gambar berikut!!


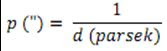
R adalah jarak bumi-matahari yaitu 1 AU (150 juta kilometer). Karena d sangat lebih besar daripada R, maka sudut p (paralaks) akan sangat kecil, sehingga tan p = p
Jadi,
Karena dalam pengamatan satuan radian terlalu besar, biasanya menggunakan satuan detik busur (arc second).
Dimana satu derajat sama dibagi menjadi 60 bagian disebut satu menit (1’) busur. Satu menit busur dibagi menjadi 60 bagian lagi disebut satu detik (1”) busur, jadi sangat kecil sekali sobat.
Jika sudut paralaks yang teramati adalah 1” busur (satu detik busur), maka jarak bintang tersebut adalah satu parsek (parsec = parallax of one arc second). Karena 1 rad sama dengan 206265” maka 1 parsek = 20625 AU.
Dengan mengetahui jarak dan posisi suatu bintang dengan bintang lainnya kita dapat memperkirakan bentuk dari galaksi kita, yang merupakan kumpulan bintang-bintang yang sangat banyak.
Sebagai contoh kita yang berada di dalam kelas dimana kita duduk bersama-sama teman kita. Dengan mengetahui posisi teman kita, yaitu di samping kanan dan kiri terdapat anak yang duduk pada jarak dua meter terhadap kita. Ada anak yang duduk tiga meter di depan dan belakang kita, dan juga terdapat empat anak yang duduk dengan jarak lima meter dengan sudut pandang 37 derajat terhadap masing-masing anak depan, samping, belakang.
Maka dapat diperkirakan bahwa formasi tempat duduk nya berbentuk persegi panjang jika dilihat dari atas.
Perhatikan gambar berikut jika kurang jelas!!
Maka dapat diperkirakan bahwa formasi tempat duduk nya berbentuk persegi panjang jika dilihat dari atas.
Perhatikan gambar berikut jika kurang jelas!!

Begitu pula dengan bintang di galaksi kita.
Jarak bintang sudah dapat dihitung dengan metode paralaks, sedangkan posisi sudut dapat diamati langsung dengan teleskop. Maka formasi dari bintang-bintang di galaksi kita dapat diperkirakan. Tentu saja hal ini juga memerlukan pengamatan yang teliti dan lama karena jumlah bintang yang sangat banyak dan posisi pengamat (bumi) juga bergerak.
Jarak bintang sudah dapat dihitung dengan metode paralaks, sedangkan posisi sudut dapat diamati langsung dengan teleskop. Maka formasi dari bintang-bintang di galaksi kita dapat diperkirakan. Tentu saja hal ini juga memerlukan pengamatan yang teliti dan lama karena jumlah bintang yang sangat banyak dan posisi pengamat (bumi) juga bergerak.
Sekian, Semoga bermanfaat
Demikian Bagaimana Menentukan Bentuk Galaksi Bimasakti Kita Spiral?
Sekianlah postingan Artikel Bagaimana Menentukan Bentuk Galaksi Bimasakti Kita Spiral? kali ini, mudah-mudahan bisa memberi manfaat untuk anda semua. baiklah, jangan lupa berkunjung kembali untuk postingan artikel lainnya, dan Terima kasih
Anda sekarang membaca artikel Bagaimana Menentukan Bentuk Galaksi Bimasakti Kita Spiral? dengan alamat link https://metodekuadrat.blogspot.com/2016/02/bagaimana-menentukan-bentuk-galaksi.html